Компания ППР48 разработала ППР на реконструкцию бизнес-центра
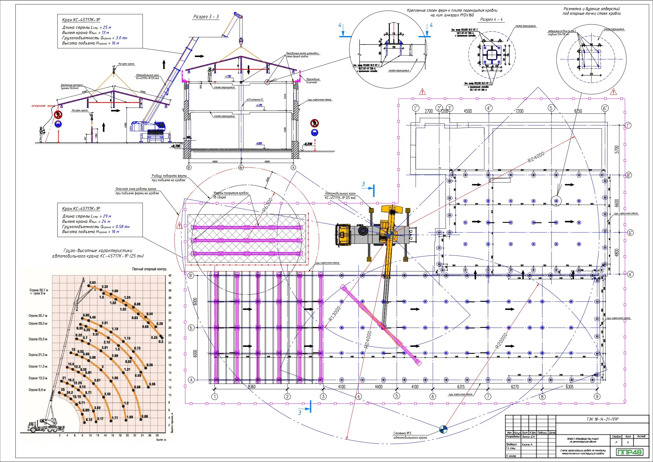
Проектная группа ППР48 занималась разработкой комплексного проекта по реконструкции бизнес центра. В рамках проекта был проведен анализ существующего состояния здания, были определены проблемные места и разработаны решения для их устранения. Также были разработаны планы реконструкции фасадов и внутренних помещений, а также инженерных систем. Группа специалистов из разных областей работала в тесном сотрудничестве, чтобы создать комплексный и эффективный проект, учитывающий все требования и ограничения заказчика.






























