ППР48
 

Разработка технологической карты работы крана в Москве

Разрабатывается в виде самостоятельного документа. В некоторых случаях может входить в состав ППР.

Область применения ТК - операции по перемещению грузов, монтажу/демонтажу конструкций, с использованием грузоподъемной техники, подача материалов в зону производства СМР. Узнать стоимость разработки ТК.

технологическая карта выполнения погрузочно-разгрузочных работ

Специалисты нашей компании имеют богатый опыт в разработке технологических карт (ТК) производства работ кранами всевозможных видов и модификаций. За время нашей работы мы разработали сотни технологических карт данного типа для заказчиков из строительной и промышленной отраслей. 

В нашей работе мы всегда учитываем технические характеристики кранов, принимая во внимание такие параметры как грузоподъемность и вылет стрелы. Все наши проекты содержат конкретные указания по работе грузоподъемной техники, а также указания по охране труда и техники безопасности для машиниста крана, стропальщиков, монтажников и т.д.

Скачать перечень данных
технологическая карта работы крана

Виды технологических карт с использованием грузоподъемной техники

Наша организация разрабатывает ТК кранами с 2016 года. За это время мы стали постоянными контрагентами по выполнению ТК для сотен промышленных предприятий и строительных компаний. Чаще всего нам приходилось сталкиваться с изготовлением следующих типов ТК для работы грузоподъемной техники:

  • Технологическая работы автомобильного крана;
  • Технологическая работы мостового кран-балки;
  • Технологическая работы мостового крана-манипулятора;
  • Технологическая работы башенного крана;
  • Технологическая работы несколькими кранами;
  • Технологическая работы козлового крана;
  • Технологическая работы портального крана

В процессе разработки каждого документа мы всегда внимательно относимся к пожеланиям заказчика, проводим детальный анализ исходных данных, учитываем индивидуальные особенности выполнения строительно-монтажных работ или производственных циклов на промышленных предприятиях.

технологическая карта работы крана-балки

Состав технологической карты производства работ кранами

ТК работы крана состоит из пояснительной записки и графической части и в общем виде выглядит следующим образом:

1. Титульный лист
2. Лист согласования
3. Лист ознакомления
4. Пояснительная записка
4.1. Область применения
4.2. Общие положения
4.3. Организация производства работ
4.4. Технология производства работ
4.5. Материально-технические ресурсы (состав бригад, техническое оснащение, машины и механизмы)
4.6. Охрана труда и техника безопасности

5. Приложения
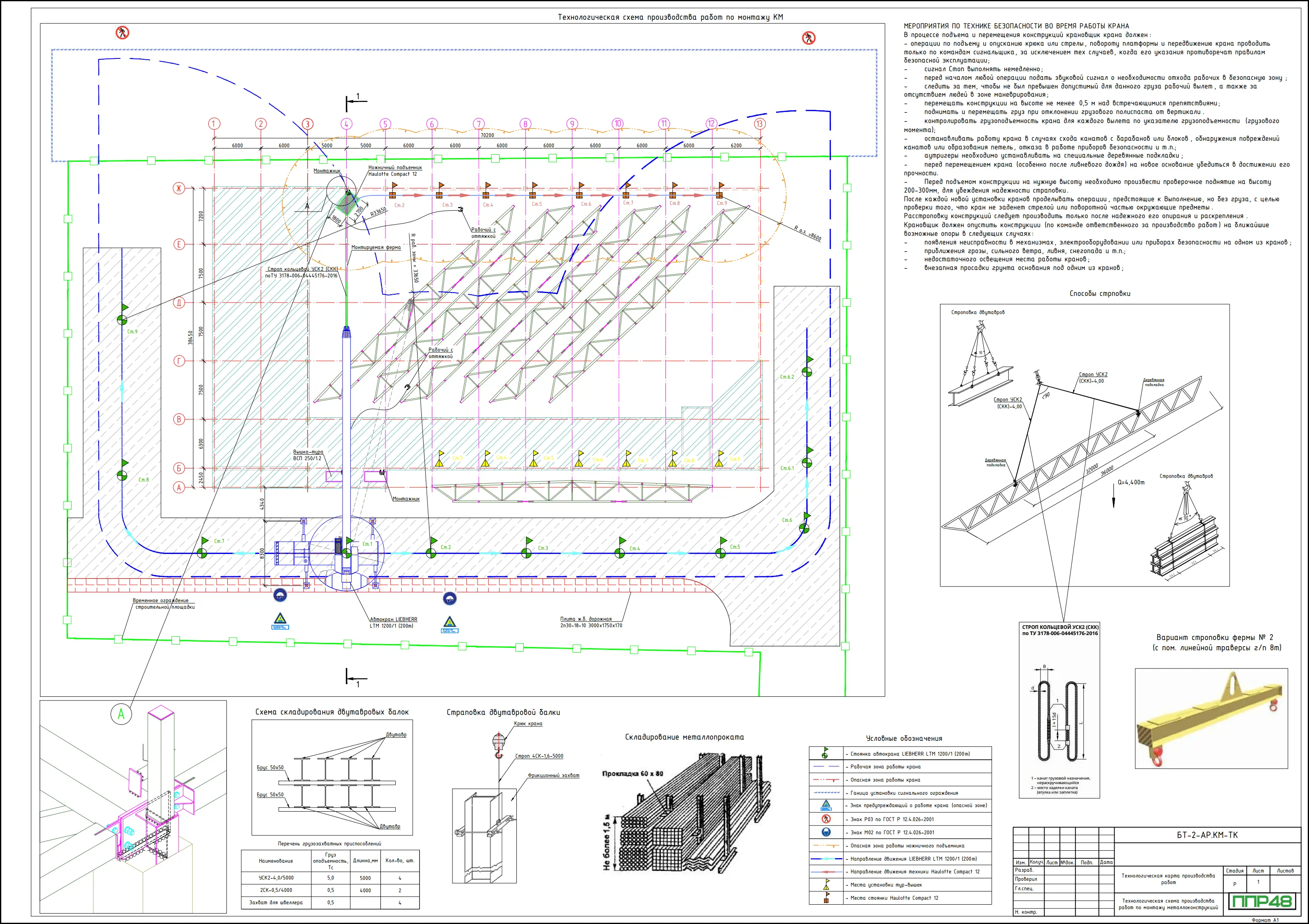
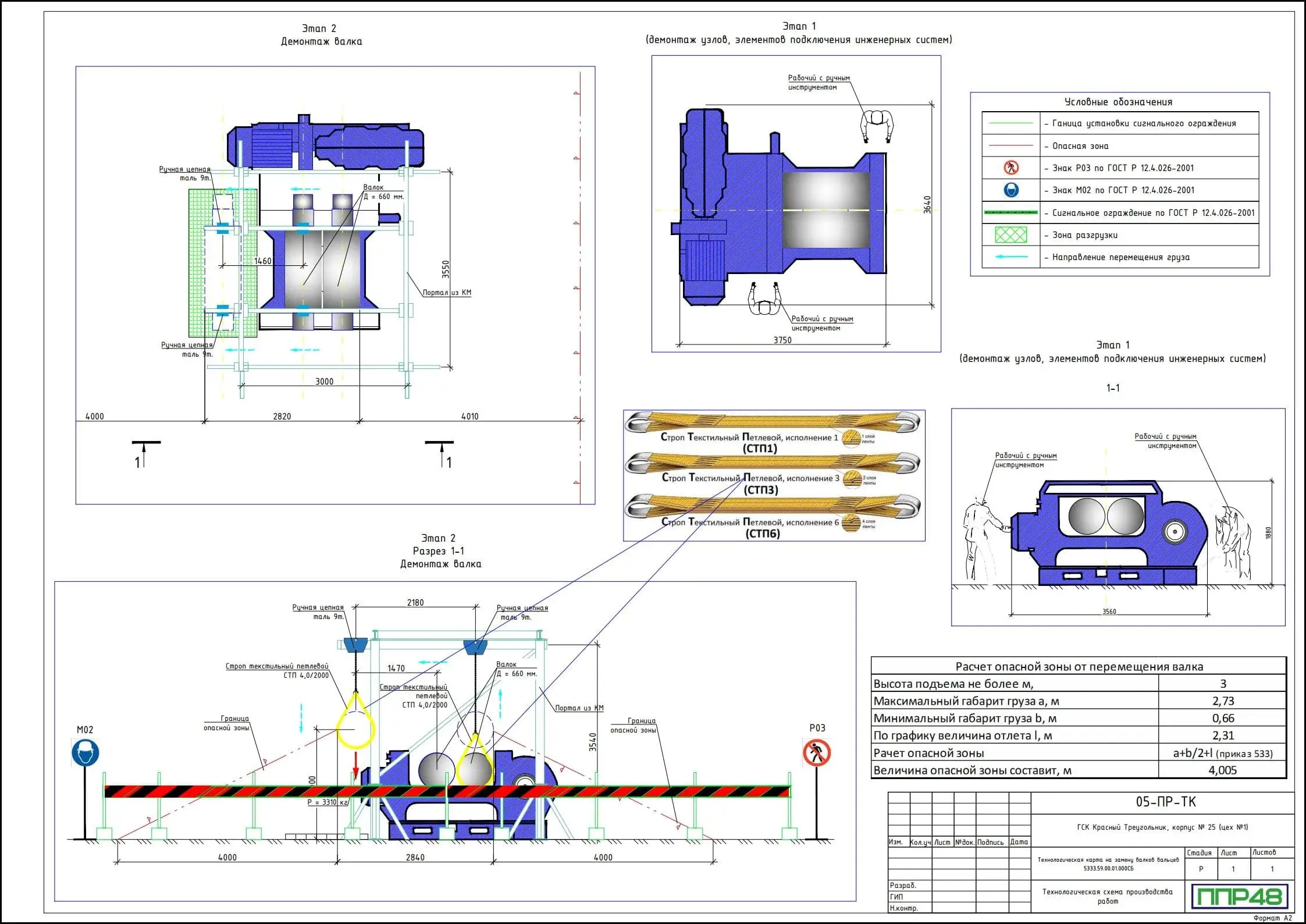
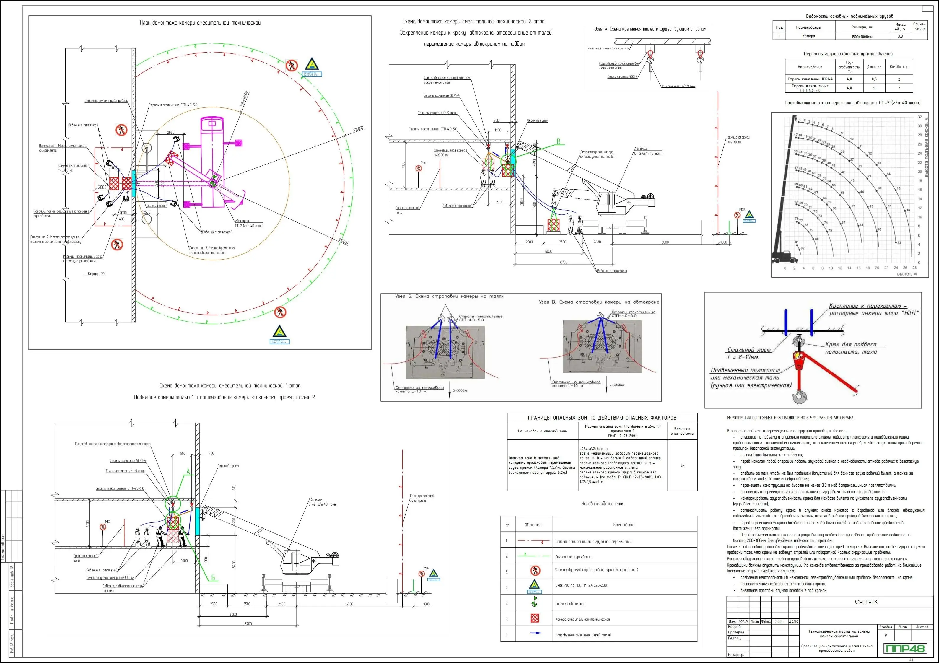
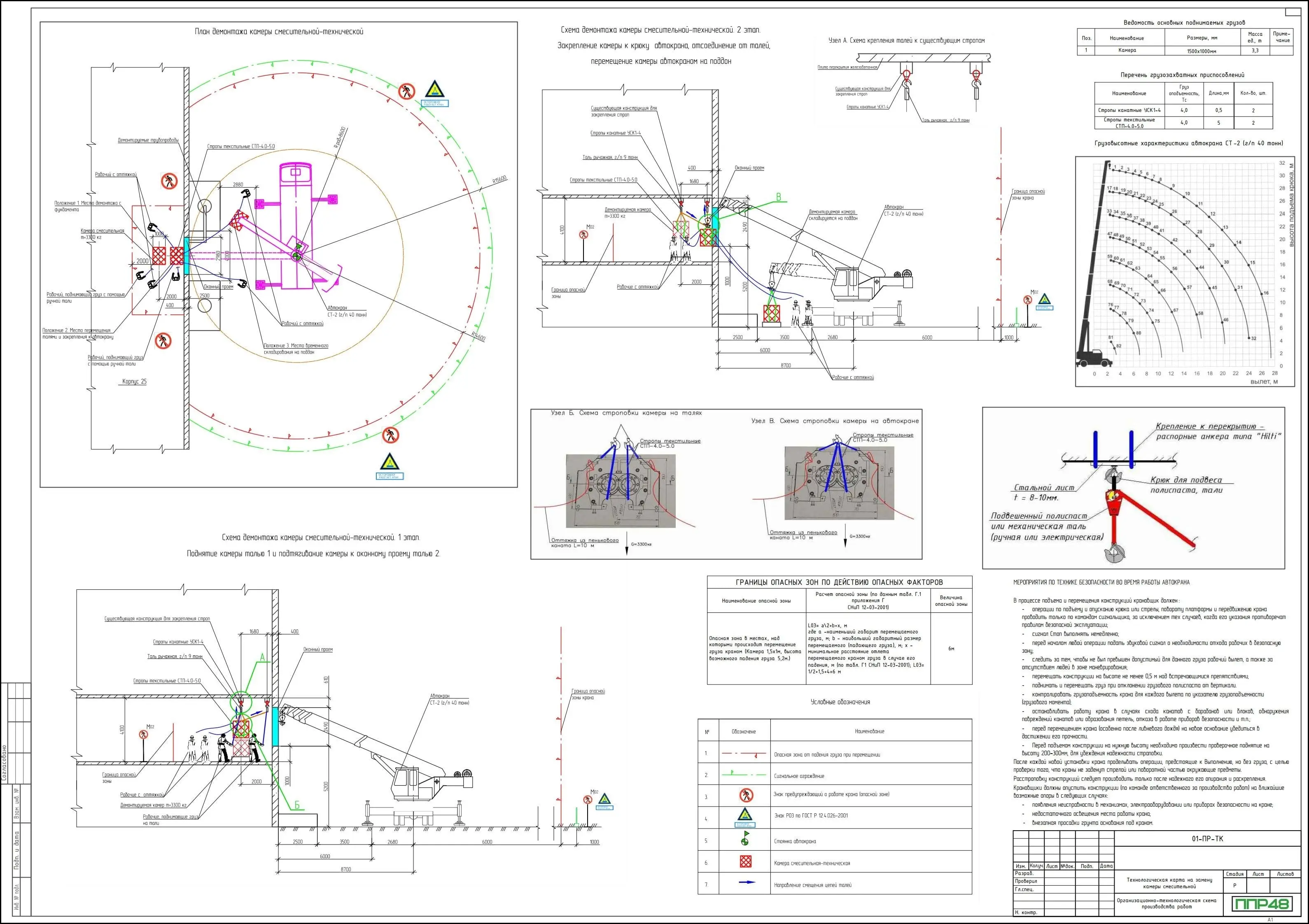
5.1. Организационно-технологическая схема производства работ (чертеж Autocad)
5.2. Схема строповки грузов
5.4. Таблица масс грузов
5.5. Паспорта, сертификаты на технику, изделия и материалы и т.д.


Компоновку графических схем мы обычно выполняем следующим образом:

  • планы и разрезы;
  • узлы строповки конструкций;
  • расчет и графическое отображение рабочих/опасных зон работы крана;
  • указатели направлений движения строительной техники;
  • места стоянки и отдыха грузоподъемной техники;
  • знаки безопасности и сигнальные ограждения по ГОСТ-12.4. 0262015
  • спецификации; 
  • условные обозначения и т.д. 

    В процессе изготовления ТК, необходимо учитывать требования нормативных документов. В них содержатся правила по безопасной эксплуатации кранов, нормы по транспортировке материалов, указания по эксплуатации техники.

Сколько стоит разработка технологической карты для кранов?

Изготавливается в составе ППР

Формат PDF
от 15.000р.
Включают в состав общего ППР. Содержат все необходимые разделы, графики и чертежи. Позволяют оптимизировать строительные процессы. Способствует достижению высоких показателей оптимизации СМР.

Самостоятельный проект

Формат PDF
от 25.000р.
Выполняется в виде отдельного документа. Содержит все необходимые разделы. Позволяет оптимизировать производственные процессы. Способствует достижению высоких показателей производительности труда.

Наши проекты

Отзывы наших клиентов

ПОЛУЧИТЕ
КОММЕРЧЕСКОЕ
ПРЕДЛОЖЕНИЕ

ГАРАНТИРУЕМ
100% СОГЛАСОВАНИЕ

СРОК ИЗГОТОВЛЕНИЯ
ОТ 2-х ДНЕЙ

ПРЕДЛАГАЕМ
ИНДИВИДУАЛЬНЫЙ ПОДХОД

  • Вам нужны качественные услуги, для получения согласования со 100% гарантией?
  • Требуется выполнить пояснительные записки и чертежи не только для проверок, но и для использования на объекте?
  • Необходимо сориентироваться по стоимости разработки строительной документации?

Ответьте на несколько вопросов по вашему проекту и получите коммерческое предложение, оптимизированное под ваш случай!

Также наша компания занимается созданием технологических карт (ТК) на погрузо-разгрузочные работы